JavaScript tanh() 方法
定义和用法
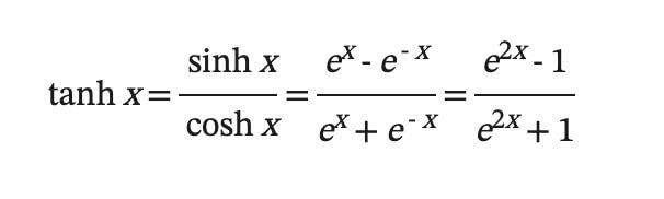
tanh() 函数将会返回一个数的双曲正切函数值,公式如下:

浏览器支持
| Chrome | Edge | Firefox | Safari | Opera |
| Yes | Yes | Yes | Yes | Yes |
语法
Math.tanh(x)
参数值
| 参数 | 描述 |
|---|---|
| x | 必需。待计算的数字。 |
返回值
| 类型 | 描述 |
|---|---|
| Number | 所给数字的双曲正切值。 |
技术细节
| JavaScript 版本: | 1.0 |
|---|
更多实例
Math.tanh(0); // 0 Math.tanh(Infinity); // 1 Math.tanh(1); // 0.7615941559557649
JavaScript Math 对象
点我分享笔记